Note: Like several prior ones, this post is an excerpt from the forthcoming book, Deep Learning and Scientific Computing with R torch. And like many excerpts, it is a product of hard trade-offs. For additional depth and more examples, I have to ask you to please consult the book.
Wavelets and the Wavelet Transform#
What are wavelets? Like the Fourier basis, they’re functions; but they don’t extend infinitely. Instead, they are localized in time: Away from the center, they quickly decay to zero. In addition to a location parameter, they also have a scale: At different scales, they appear squished or stretched. Squished, they will do better at detecting high frequencies; the converse applies when they’re stretched out in time.
The basic operation involved in the Wavelet Transform is convolution – have the (flipped) wavelet slide over the data, computing a sequence of dot products. This way, the wavelet is basically looking for similarity.
As to the wavelet functions themselves, there are many of them. In a practical application, we’d want to experiment and pick the one that works best for the given data. Compared to the DFT and spectrograms, more experimentation tends to be involved in wavelet analysis.
The topic of wavelets is very different from that of Fourier transforms in other respects, as well. Notably, there is a lot less standardization in terminology, use of symbols, and actual practices. In this introduction, I’m leaning heavily on one specific exposition, the one in Arnt Vistnes’ very nice book on waves (Vistnes 2018). In other words, both terminology and examples reflect the choices made in that book.
Introducing the Morlet wavelet#
The Morlet, also known as Gabor1, wavelet is defined like so:
$$\Psi_{\omega_{a},K,t_{k}}(t_n) = (e^{-i \omega_{a} (t_n - t_k)} - e^{-K^2}) \ e^{- \omega_a^2 (t_n - t_k )^2 /(2K )^2} $$This formulation pertains to discretized data, the kinds of data we work with in practice. Thus, $t_k$ and $t_n$ designate points in time, or equivalently, individual time-series samples.
This equation looks daunting at first, but we can “tame” it a bit by analyzing its structure, and pointing to the main actors. For concreteness, though, we first look at an example wavelet.
We start by implementing the above equation:
|
|
Comparing code and mathematical formulation, we notice a difference. The function itself takes one argument, $t_n$; its realization, four (omega, K, t_k, and t). This is because the torch code is vectorized: On the one hand, omega, K, and t_k, which, in the formula, correspond to $\omega_{a}$, $K$, and $t_k$ , are scalars. (In the equation, they’re assumed to be fixed.) t, on the other hand, is a vector; it will hold the measurement times of the series to be analyzed.
We pick example values for omega, K, and t_k, as well as a range of times to evaluate the wavelet on, and plot its values:
|
|

What we see here is a complex sine curve – note the real and imaginary parts, separated by a phase shift of $\pi/2$ – that decays on both sides of the center. Looking back at the equation, we can identify the factors responsible for both features. The first term in the equation, $e^{-i \omega_{a} (t_n - t_k)}$, generates the oscillation; the third, $e^{- \omega_a^2 (t_n - t_k )^2 /(2K )^2}$, causes the exponential decay away from the center. (In case you’re wondering about the second term, $e^{-K^2}$: For given $K$, it is just a constant.)
The third term actually is a Gaussian, with location parameter $t_k$ and scale $K$. We’ll talk about $K$ in great detail soon, but what’s with $t_k$? $t_k$ is the center of the wavelet; for the Morlet wavelet, this is also the location of maximum amplitude. As distance from the center increases, values quickly approach zero. This is what is meant by wavelets being localized: They are “active” only on a short range of time.
The roles of $K$ and $\omega_a$#
Now, we already said that $K$ is the scale of the Gaussian; it thus determines how far the curve spreads out in time. But there is also $\omega_a$. Looking back at the Gaussian term, it, too, will impact the spread.
First though, what is $\omega_a$? The subscript $a$ stands for “analysis”; thus, $\omega_a$ denotes a single frequency being probed.
Now, let’s first inspect visually the respective impacts of $\omega_a$ and $K$.
|
|

In the left column, we keep $\omega_a$ constant, and vary $K$. On the right, $\omega_a$ changes, and $K$ stays the same.
Firstly, we observe that the higher $K$, the more the curve gets spread out. In a wavelet analysis, this means that more points in time will contribute to the transform’s output, resulting in high precision as to frequency content, but loss of resolution in time. (We’ll return to this – central – trade-off soon.)
As to $\omega_a$, its impact is twofold. On the one hand, in the Gaussian term, it counteracts – exactly, even – the scale parameter, $K$. On the other, it determines the frequency, or equivalently, the period, of the wave. To see this, take a look at the right column. Corresponding to the different frequencies, we have, in the interval between 4 and 6, four, six, or eight peaks, respectively.
This double role of $\omega_a$ is the reason why, all-in-all, it does make a difference whether we shrink $K$, keeping $\omega_a$ constant, or increase $\omega_a$, holding $K$ fixed.
This state of things sounds complicated, but is less problematic than it might seem. In practice, understanding the role of $K$ is important, since we need to pick sensible $K$ values to try. As to the $\omega_a$, on the other hand, there will be a multitude of them, corresponding to the range of frequencies we analyze.
So we can understand the impact of $K$ in more detail, we need to take a first look at the Wavelet Transform.
Wavelet Transform: A straightforward implementation#
While overall, the topic of wavelets is more multifaceted, and thus, may seem more enigmatic than Fourier analysis, the transform itself is easier to grasp. It is a sequence of local convolutions between wavelet and signal. Here is the formula for specific scale parameter $K$, analysis frequency $\omega_a$, and wavelet location $t_k$:
$$W_{K, \omega_a, t_k} = \sum_n x_n \Psi_{\omega_{a},K,t_{k}}^*(t_n)$$This is just a dot product, computed between signal and complex-conjugated wavelet. (Here complex conjugation flips the wavelet in time, making this convolution, not correlation – a fact that matters a lot, as you’ll see soon.)
Correspondingly, straightforward implementation results in a sequence of dot products, each corresponding to a different alignment of wavelet and signal. Below, in wavelet_transform(), arguments omega and K are scalars, while x, the signal, is a vector. The result is the wavelet-transformed signal, for some specific K and omega of interest.
|
|
To test this, we generate a simple sine wave that has a frequency of 100 Hertz in its first part, and double that in the second.
|
|

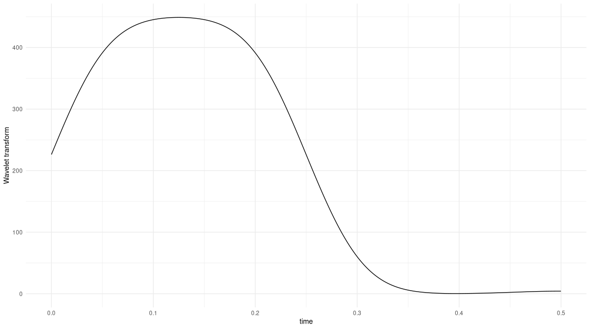
Now, we run the Wavelet Transform on this signal, for an analysis frequency of 100 Hertz, and with a K parameter of 2, found through quick experimentation:
|
|

The transform correctly picks out the part of the signal that matches the analysis frequency. If you feel like, you might want to double-check what happens for an analysis frequency of 200 Hertz.
Now, in reality we will want to run this analysis not for a single frequency, but a range of frequencies we’re interested in. And we will want to try different scales K. Now, if you executed the code above, you might be worried that this could take a lot of time.
Well, it by necessity takes longer to compute than its Fourier analogue, the spectrogram. For one, that’s because with spectrograms, the analysis is “just” two-dimensional, the axes being time and frequency. With wavelets there are, in addition, different scales to be explored. And secondly, spectrograms operate on whole windows (with configurable overlap); a wavelet, on the other hand, slides over the signal in unit steps.
Still, the situation is not as grave as it sounds. The Wavelet Transform being a convolution, we can implement it in the Fourier domain instead. We’ll do that very soon, but first, as promised, let’s revisit the topic of varying K.
Resolution in time versus in frequency#
We already saw that the higher K, the more spread-out the wavelet. We can use our first, maximally straightforward, example, to investigate one immediate consequence. What, for example, happens for K set to twenty?
|
|

The Wavelet Transform still picks out the correct region of the signal – but now, instead of a rectangle-like result, we get a significantly smoothed version that does not sharply separate the two regions.
Notably, the first 0.05 seconds, too, show considerable smoothing. The larger a wavelet, the more element-wise products will be lost at the end and the beginning. This is because transforms are computed aligning the wavelet at all signal positions, from the very first to the last. Concretely, when we compute the dot product at location t_k = 1, just a single sample of the signal is considered.
Apart from possibly introducing unreliability at the boundaries, how does wavelet scale affect the analysis? Well, since we’re correlating (convolving, technically; but in this case, the effect, in the end, is the same) the wavelet with the signal, point-wise similarity is what matters. Concretely, assume the signal is a pure sine wave, the wavelet we’re using is a windowed sinusoid like the Morlet, and that we’ve found an optimal K that nicely captures the signal’s frequency. Then any other K, be it larger or smaller, will result in less point-wise overlap.
Performing the Wavelet Transform in the Fourier domain#
Soon, we will run the Wavelet Transform on a longer signal. Thus, it is time to speed up computation. We already said that here, we benefit from time-domain convolution being equivalent to multiplication in the Fourier domain. The overall process then is this: First, compute the DFT of both signal and wavelet; second, multiply the results; third, inverse-transform back to the time domain.
The DFT of the signal is quickly computed:
|
|
With the Morlet wavelet, we don’t even have to run the FFT: Its Fourier-domain representation can be stated in closed form. We’ll just make use of that formulation from the outset. Here it is:
|
|
Comparing this statement of the wavelet to the time-domain one, we see that – as expected – instead of parameters t and t_k it now takes omega and omega_a. The latter, omega_a, is the analysis frequency, the one we’re probing for, a scalar; the former, omega, the range of frequencies that appear in the DFT of the signal.
In instantiating the wavelet, there is one thing we need to pay special attention to. In FFT-think, the frequencies are bins; their number is determined by the length of the signal (a length that, for its part, directly depends on sampling frequency). Our wavelet, on the other hand, works with frequencies in Hertz (nicely, from a user’s perspective; since this unit is meaningful to us). What this means is that to morlet_fourier, as omega_a we need to pass not the value in Hertz, but the corresponding FFT bin. Conversion is done relating the number of bins, dim(x)[1], to the sampling frequency of the signal, fs:
|
|
We instantiate the wavelet, perform the Fourier-domain multiplication, and inverse-transform the result:
|
|
Putting together wavelet instantiation and the steps involved in the analysis, we have the following. (Note how to wavelet_transform_fourier, we now, conveniently, pass in the frequency value in Hertz.)
|
|
We’ve already made significant progress. We’re ready for the final step: automating analysis over a range of frequencies of interest. This will result in a three-dimensional representation, the wavelet diagram.
Creating the wavelet diagram#
In the Fourier Transform, the number of coefficients we obtain depends on signal length, and effectively reduces to half the sampling frequency. With its wavelet analogue, since anyway we’re doing a loop over frequencies, we might as well decide which frequencies to analyze.
Firstly, the range of frequencies of interest can be determined running the DFT. The next question, then, is about granularity. Here, I’ll be following the recommendation given in Vistnes’ book, which is based on the relation between current frequency value and wavelet scale, K.
Iteration over frequencies is then implemented as a loop:
|
|
Calling wavelet_grid() will give us the analysis frequencies used, together with the respective outputs from the Wavelet Transform.
Next, we create a utility function that visualizes the result. By default, plot_wavelet_diagram() displays the magnitude of the wavelet-transformed series; it can, however, plot the squared magnitudes, too, as well as their square root, a method much recommended by Vistnes whose effectiveness we will soon have opportunity to witness.
The function deserves a few further comments.
Firstly, same as we did with the analysis frequencies, we down-sample the signal itself, avoiding to suggest a resolution that is not actually present. The formula, again, is taken from Vistnes’ book.
Then, we use interpolation to obtain a new time-frequency grid. This step may even be necessary if we keep the original grid, since when distances between grid points are very small, R’s image() may refuse to accept axes as evenly spaced.
Finally, note how frequencies are arranged on a log scale. This leads to much more useful visualizations.
|
|
Let’s use this on a real-world example.
A real-world example: Chaffinch’s song#
For the case study, I’ve chosen what, to me, was the most impressive wavelet analysis shown in Vistnes’ book. It’s a sample of a chaffinch’s singing, and it’s available on Vistnes’ website.
|
|
We use torchaudio to load the file, and convert from stereo to mono using tuneR’s appropriately named mono(). (For the kind of analysis we’re doing, there is no point in keeping two channels around.)
|
|
Wave Object
Number of Samples: 1864548
Duration (seconds): 42.28
Samplingrate (Hertz): 44100
Channels (Mono/Stereo): Mono
PCM (integer format): TRUE
Bit (8/16/24/32/64): 16
For analysis, we don’t need the complete sequence. Helpfully, Vistnes also published a recommendation as to which range of samples to analyze.
|
|
[1] 131072
How does this look in the time domain? (Don’t miss out on the occasion to actually listen to it, on your laptop.)
|
|

Now, we need to determine a reasonable range of analysis frequencies. To that end, we run the FFT:
|
|
On the x-axis, we plot frequencies, not sample numbers, and for better visibility, we zoom in a bit.
|
|

Based on this distribution, we can safely restrict the range of analysis frequencies to between, approximately, 1800 and 8500 Hertz. (This is also the range recommended by Vistnes.)
First, though, let’s anchor expectations by creating a spectrogram for this signal. Suitable values for FFT size and window size were found experimentally. And though, in spectrograms, you don’t see this done often, I found that displaying square roots of coefficient magnitudes yielded the most informative output.
|
|
[1] 513 257
Like we do with wavelet diagrams, we plot frequencies on a log scale.
|
|

The spectrogram already shows a distinctive pattern. Let’s see what can be done with wavelet analysis. Having experimented with a few different K, I agree with Vistnes that K = 48 makes for an excellent choice:
|
|

The gain in resolution, on both the time and the frequency axis, is utterly impressive.
Thanks for reading!
Photo by Vlad Panov on Unsplash
Vistnes, Arnt Inge. 2018. Physics of Oscillations and Waves. With Use of Matlab and Python. Springer.
-
After Dennis Gabor, who came up with the idea of using Gaussian-windowed complex exponentials for time-frequency decomposition, and Jean Morlet, who elaborated on and formalized the resulting transform. ↩︎
